Bachelor Thesis | Indian Institute of Science Education and Research (IISER), Pune | July 2023 - May 2024
Mentor: Dr Deepak Dhar, Professor Emeritus
The project was inspired by Exercise 8.13 in the book “Entropy, Order Parameters, and Complexity” written by James P. Sethna.
-
Built a strong theoretical foundation in statistical mechanics and phase transitions through comprehensive study of standard texts.
-
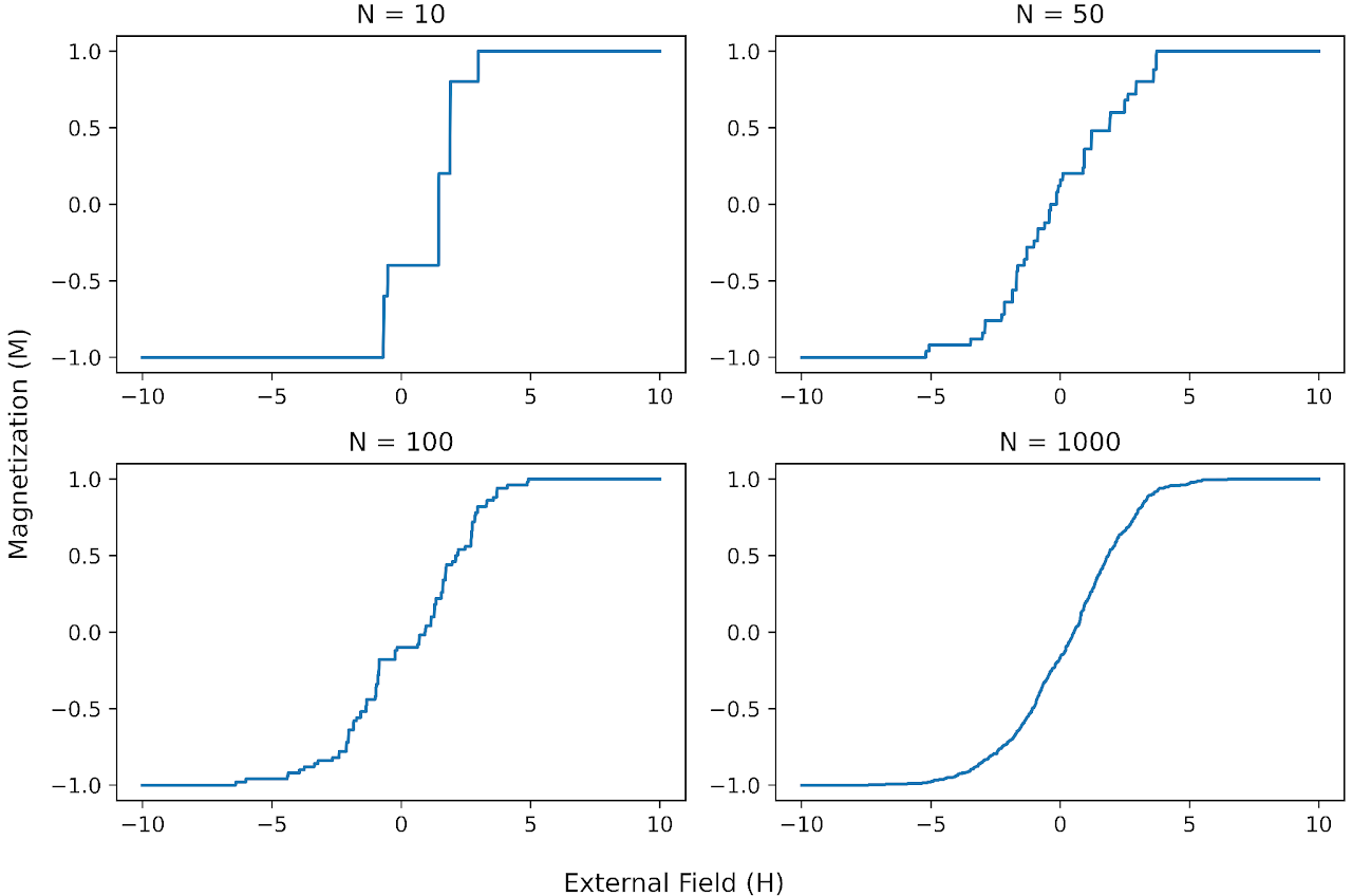
Developed a Python simulation of a 1D zero-temperature random field Ising model to investigate discrete magnetisation jumps in ferromagnetic materials containing impurities and defects.
-
Quantitatively analysed the effects of lattice size, random field standard deviation, and probability distributions on magnetisation curves, identifying parameter-dependent behaviours and trends.
Few Results:
Figure (Top) is the H vs M curve for a 1-D lattice with a random Gaussian field of R = 3.1.
Figure (Bottom) is the H vs M curve for different lattice sizes. Both plots are outputs from the simulation.
